關于非法冒用樂研品牌名義傳播不實郵件的聲明
隨著樂研品牌(leyan.com)的影響力和知名度不斷提升,近期遭到不法人員冒用樂研品牌名義,以非法途徑冒用樂研名義,甚至冒充樂研高管,向客戶群發不實‘開學季活動’的郵件,企圖誤導正常的商業合作,此行為嚴重影響樂研品牌形象與聲譽。
在此,樂研品牌聲明如下:
1、樂研正式的郵箱后綴與官網相同,均為@leyan.com,不存在其他形式的郵箱域名;任何其他形式的域名郵件地址,均為不法人員注冊的垃圾郵件。
2、網絡非法外之地,不法分子的惡劣行徑蓄意破壞行業環境,樂研對此行為絕不姑息并將追究法律責任。
3、如各位業務伙伴收到相關郵件或信息,請立即向樂研舉報,聯系電話:400-8210-725
上海皓鴻生物醫藥科技有限公司
2023年4月12日
特此公告!
定制合成研發
技術領先,致力于技術壁壘高、合成難度大、附加值高的新穎藥物分子砌塊的研發工藝開發
公斤級的中試實驗室,100+資深研發人員,高效的工藝路線篩選和安全性評估體系檢測方法開發
專業的分析研發和質量控制團隊,為您提供全方位的分析方法開發、驗證和測試服務固態化學 & 單晶研究
晶型/鹽型/共晶篩選、固態分析、結晶工藝研究服務,單晶培養、檢測、解析服務多肽定制合成服務
專業提供2~60肽定制服務,包含線性肽、樹狀支鏈多肽、環肽和多種特殊修飾的多肽GMP工廠生產
樂研提供的GMP相關原料藥和中間體嚴格遵守GMP指南生產,保證化合物的安全、可靠、穩定和高質量寡核苷酸定制服務平臺
專業豐富的化學修飾能力與技術,滿足各種功能的定制需求
技術支持
黃飛鶴
課題組鏈接:
http://huangfeihegroup.com
相關產品
更多
2383822 貨期咨詢
2383823 貨期咨詢
2383824 貨期咨詢
2383825 貨期咨詢
2383827 貨期咨詢
研究領域
1. 柱芳烴等新型大環主體分子的設計合成
2. 主客體識別與分子組裝
3. 超分子聚合物
4. 非多孔自適應晶體(NACs)
5. 分子機器與智能響應材料
6. 超分子分離材料與應用
獲獎記錄
相關研究
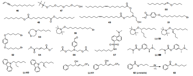
1. 柱芳烴-MOF實現長鏈不易結晶化合物的結晶和結構解析。
由于長烷基鏈分子在單晶結構解析的時候容易處于無序排列狀態,不利于其結構的測定。黃飛鶴團隊發現,當把柱芳烴精準整合到MOF材料中,長烷基鏈分子被柱芳烴絡合后在MOF內部實現三維有序的排列,可以實現長烷基鏈分子的結晶和結構解析。團隊用這個類似“分子捕手”的技術成功“捕獲”了63種已知或未知的化合物,并通過單晶X射線衍射、核磁和質譜表征,成功測出了它們的結構。該方法未來有望在藥物、天然產物和有機合成產物的單晶結構分析中發揮重要作用。
Nature 2025, 640, 676–682
近期論文
![]()
現貨供應
![]()
專業護航
![]()
售后無憂
![]()
品質保障
![]()
無需湊單
滬ICP備17019645號

400-821-0725